D168

Fluid loss and gas migration control additive

concrete texture

Control fluid loss and gas migration

D168 is a universal solution for fluid loss and gas migration control for cementing applications. The wide-temperature-range additive, part of the UNIFLAC universal fluid-loss additive system, is a custom-made liquid polymer that is less sensitive to small temperature or concentration variations.

Temperature range: 80 to 400 degF [27 to 204 degC]
Slurry density range: 12 to 19.5 ppg [1,440 to 2,340 kg/m3]
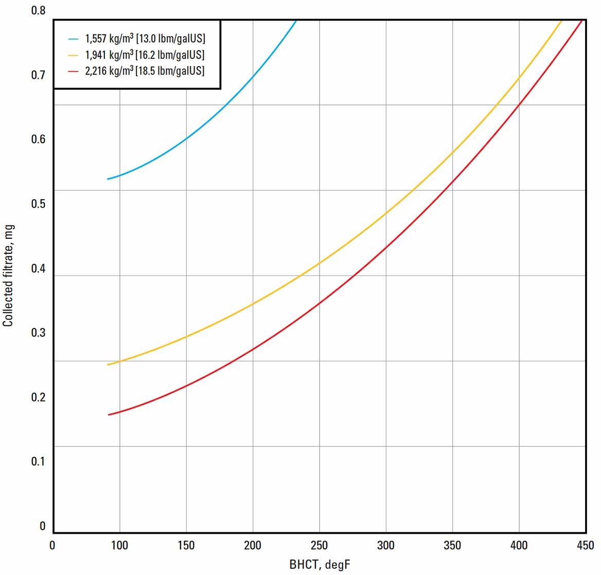
The required D168 concentration to achieve an ISO/API fluid loss of 50 mL/30 min is easily predictable at different BHCTs and slurry densities.
The required D168 concentration to achieve an ISO/API fluid loss of 50 mL/30 min is easily predictable at different bottomhole circulating temperatures and slurry densities.